Use our Expand Each Binomial Calculator to expand expressions like (a + b)ⁿ with step-by-step solutions, binomial coefficients, and clear explanations for students.
View Also – Binomial distribution calculator
Expand Each Binomial Calculator – Expand Binomials Step by Step
Welcome to our Expand Each Binomial Calculator, a simple and powerful math tool designed to help students expand binomial expressions accurately and quickly. Whether you are studying algebra, pre-calculus, or calculus, this calculator makes binomial expansion easy with clear steps and well-structured results.

By entering the values of a, b, the exponent n, and the variable symbol, you can instantly see the fully expanded polynomial along with binomial coefficients and intermediate steps.
How to Use the Expand Each Binomial Calculator
Follow these simple steps to expand any binomial expression of the form (a + b)ⁿ using the calculator.
Step 1: Enter Coefficient of the Variable (a)
In the field labeled “Enter ‘a’ (coefficient of variable)”, type the numerical coefficient of the variable.
Example:
For the expression (2x + 3)³, enter 2.
Step 2: Enter the Constant Term (b)
In the input labeled “Enter ‘b’ (constant term)”, type the constant value.
Example:
For (2x + 3)³, enter 3.
Step 3: Enter the Power (n)
In the field labeled “Enter ‘n’ (power)”, type the exponent to which the binomial is raised.
The value of n must be a non-negative whole number.
Example:
For (2x + 3)³, enter 3.
Step 4: Enter the Variable Symbol
You may enter any single-letter variable such as x, y, or z.
If left blank, the calculator uses x by default.
Example:
Enter x.
Step 5: Click “Expand”
Click the “Expand” button to generate the expanded polynomial.
The output includes:
The full expanded expression
A table showing each term
Binomial coefficients
Intermediate powers and final values
Step 6: Read the Result
The result is displayed using clear mathematical notation, making it easy to read and suitable for academic use.
Expand Each Binomial Calculator With Steps
The Expand Each Binomial Calculator is designed to support students from high school through college. It is especially useful for Algebra 1, Algebra 2, SAT, ACT, AP Calculus, and introductory college mathematics.
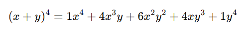
You can enter expressions like (x + 2)⁴ or (x − y)⁵ and instantly receive the expanded form along with a step-by-step explanation based on standard mathematical rules.
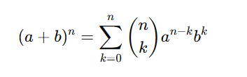
What Is Binomial Expansion?
A binomial is an algebraic expression containing two terms, such as (a + b) or (x − y). When a binomial is raised to a power, expanding it manually can become time-consuming.
Binomial expansion is a systematic method used to rewrite (a + b)ⁿ as a polynomial. The two most common techniques are:
The Binomial Theorem
Pascal’s Triangle
This calculator automatically applies the correct method for you.
Features of the Expand Each Binomial Calculator
This calculator is built to:
Accept expressions in the form (a + b)ⁿ
Expand binomials fully
Display binomial coefficients clearly
Show results in standard polynomial form
Provide step-by-step explanations
It also supports advanced cases such as fractional and negative powers.
Find Term in Binomial Expansion Calculator
In addition to full expansion, the calculator allows you to focus on a specific term in the expansion. This is especially helpful in competitive exams and higher-level algebra problems where only one term is required.
Expand Each Binomial Calculator vs Mathway
General math tools like Mathway can solve many problems, but they often limit step explanations or require paid access. Our Expand Each Binomial Calculator is built specifically for binomial expansion and offers:
Free access
Clear step-by-step solutions
No login or installation
Student-friendly explanations
It focuses on learning, not just answers.
Binomial Expansion Calculator Using Pascal’s Triangle
Pascal’s Triangle provides a visual way to determine binomial coefficients. For example, when expanding a power of 4, the coefficients come from the row 1, 4, 6, 4, 1.
The calculator automatically identifies the correct row and applies it to your expression.
Binomial Expansion Calculator for Fractional Powers
When a binomial has a fractional exponent, the expansion becomes an infinite series. The calculator applies the generalized binomial theorem and shows the first few terms, which are commonly used in calculus and approximation problems.
Binomial Expansion Calculator for Negative Powers
Negative exponents also lead to infinite series expansions. The calculator uses extended binomial formulas to display meaningful terms that help students understand how such expansions work in advanced mathematics.
Binomial Theorem Calculator With Full Solution
The calculator clearly applies the binomial theorem by showing:
The formula
The coefficient for each term
The powers of each component
The final simplified polynomial
This approach helps students understand the logic behind each step.
Why Use an Expand Each Binomial Calculator?
Expanding binomials manually is manageable for small powers, but it quickly becomes complex as the exponent increases. This calculator saves time, reduces mistakes, and improves understanding by showing every step clearly.
It is ideal for homework, exam preparation, self-study, and concept revision.
Frequently Asked Questions
What is binomial expansion?
It is a method of rewriting (a + b)ⁿ as a polynomial using binomial coefficients.
Is this calculator useful for exams?
Yes. It helps students practice and verify answers while learning the correct steps.
Does it show all calculation steps?
Yes. Every term is explained using the binomial theorem or Pascal’s Triangle.
Can it handle fractional and negative powers?
Yes. The calculator supports generalized binomial expansions.
Conclusion
The Expand Each Binomial Calculator is a reliable and educational tool for students learning algebra and calculus. It not only provides accurate expansions but also helps users understand the mathematics behind binomial expressions through clear, step-by-step explanations.
Whether you are expanding simple binomials or working with advanced powers, this calculator makes the process faster, clearer, and more effective.
Disclaimer
This calculator is provided for educational and informational purposes only. While it follows standard mathematical formulas, users should always verify important results independently, especially for exams or academic assessments.